Blog
Perintah Am Bab D Hukuman Tata Tertib
economic planning unit malaysia pdf
diploma pendidikan awal kanak kanak
diploma pendidikan awal kanak kanak unisel
di mana atau dimana ivan lanin
diploma pendidikan awal kanak kanak di terengganu
digunapakai atau diguna pakai
diploma pengurusan perkhidmatan makanan halal
education malaysia global services ceo
Bab D Kelakuan Dan Tatatertib 1993
Bab D Kelakuan Dan Tatatertib 1993
Bab D Kelakuan Dan Tatatertib 1993
Bab D Kelakuan Dan Tatatertib 1993
Perintah Am Bab D Hukuman Tata Tertib
Bab D Kelakuan Dan Tatatertib 1993
Bab D Kelakuan Dan Tatatertib 1993
Bab D Kelakuan Dan Tatatertib 1993
Bab D Kelakuan Dan Tatatertib 1993
Bab D Kelakuan Dan Tatatertib 1993
Bab D Kelakuan Dan Tatatertib 1993
Bab D Kelakuan Dan Tatatertib 1993
Bab 7 Pdf
Bab D Kelakuan Dan Tatatertib 1993
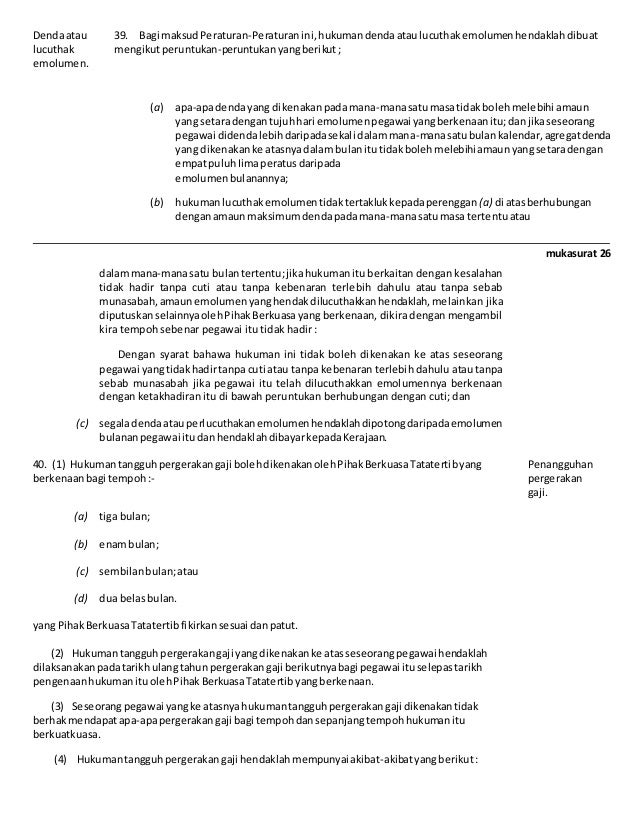
2
Bab D Kelakuan Dan Tatatertib 1993
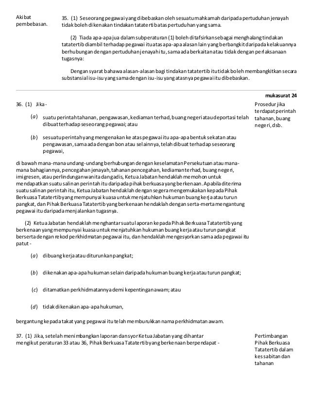
2
Bab D Kelakuan Dan Tatatertib 1993
Http Digilib Uinsby Ac Id 14479 5 Bab 202 Pdf
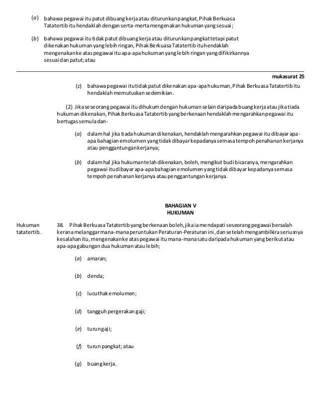
2
Source :
pinterest.com
Random Posts
Masuk Bakul Angkat Sendiri In English
Melepaskan Batok Di Tangga Maksud
Maybank Contoh Surat Buka Akaun Bank Untuk Pekerja
Maksud Rempah Ratus Kamus Dewan
Math Latihan Matematik Prasekolah 6 Tahun Pdf
Matapelajaran Atau Mata Pelajaran
Masalah Pencemaran Sungai Di Malaysia
Maksud Tokoh Dalam Kamus Dewan Edisi Keempat
Melepaskan Batuk Di Tangga Maksud
Mathematics Form 4 Chapter 1
Maksud Untuk Perkataan Berketrampilan
Malay Kamus Bm Ke Bi Google Translate
Matematik Tambahan Kertas 1 Spm
Matematik Tahun 1 2019
Matlamat Akta Bahasa Kebangsaan 1967
Maksud Resume Dalam Bahasa Melayu
Maksud Sediakan Payung Sebelum Hujan
Meja Dalam Bahasa Arab Artinya
Maksud Visi Misi Dan Objektif Perniagaan Stpm
Maksud Peribahasa Seperti Pahat Dengan Penukul