Blog
Minit Mesyuarat Agung Persatuan Bahasa Inggeris
latihan kata nama khas
latihan kata nama khas hidup manusia dengan nama panggilan atau gelaran
latihan matematik tambahan tingkatan 4 kbsm
latihan matematik tahun 3 tajuk wang
latihan kata nama am dan khas tahun 1
latihan bahasa malaysia tahun 2
latihan bahasa inggeris tahun 1 pdf
latihan komsas tingkatan 3
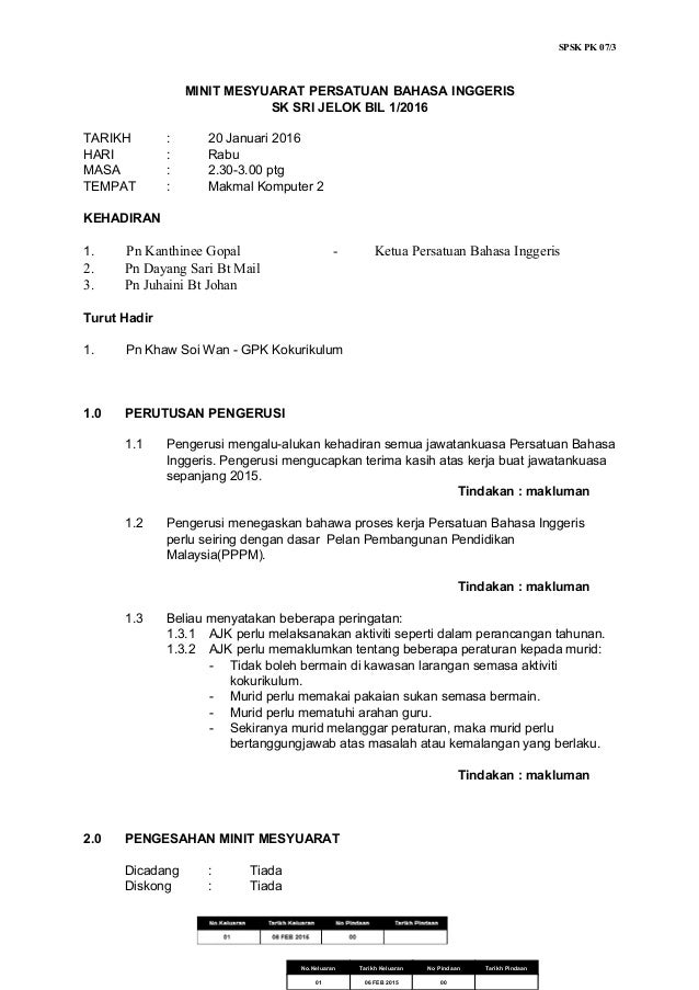
Minit Mesyuarat Persatuan Bahasa Inggeris
Minit Mesyuarat Persatuan Bahasa Inggeris
Minit Mesyuarat Persatuan Bahasa Inggeris Kali Kedua 2017
Minit Mesyuarat Persatuan Bahasa Inggeris
Minit Mesyuarat Agung Persatuan Bahasa Inggeris
Minit Mesyuarat Agung Persatuan 2017
Minit Mesyuarat Kelab Bola Tampar
Minit Mesyuarat Kelab Bola Tampar
Bahasa Inggeris
Bahasa Inggeris
Bahasa Inggeris
Perlembagaan Persatuan Bahasa Inggeris
Minit Mesyuarat Koko Kali Kedua 2019 Pages 1 5 Flip Pdf Download Fliphtml5
Minit Mesyuarat Persatuan Bahasa Inggeris Kali Kedua 2017
Perlembagaan Persatuan Bahasa Inggeris English Club 2019 Sekolah Menengah Kebangsaan Tawau Ii Pages 1 7 Flip Pdf Download Fliphtml5
Eneshard Contoh Minit Mesyuarat Persatuan Bahasa Melayu Kali Kedua
Panduan Penubuhan Persatuan Bahasa Inggeris Gurubesar My
Contoh Minit Mesyuarat English Club 2018
Doc Rpt Persatuan Bahasa Inggeris Murely Ponnusamy Academia Edu
Minit Mesyuarat Kelab Badminton 2017
Source :
pinterest.com
Random Posts
English Contoh Surat Rasmi Kerajaan Dalam Bahasa Inggeris
Folio Geografi Tingkatan 2 Telekomunikasi Di Malaysia
Emergency Response Team Malaysia Guideline
Faktor Perjanjian London 1824
Fakulti Ekonomi Dan Pengurusan Upm
Elaun Penolong Pegawai Tadbir N29
English Paper 2 Spm 2018
Esei Pengajian Am Penggal 2 Pdf
English Textbook Year 6 Sjkc Answers
Format Surat Akuan Sumpah
Folio Sejarah Tingkatan 3 Dato Maharaja Lela
Ejaan Bulan 12 Dalam Bahasa Melayu
Frame Border Selamat Hari Guru 2020
Esei Pengajian Am Penggal 2 Rukun Negara
Faktor Pengambilan Makanan Segera
Format Of Formal Letter Writing In Malayalam
Fakulti Pengajian Islam Ukm Bangi
Faedah Menyertai Aktiviti Kokurikulum Stpm
English Form 1 Daily Lesson Plan
Esei Pengajian Am Penggal 2 Perpaduan